昆山提招数学模拟卷(三)

1.学校医务室给学生准备中药,一碗中药原来的高度是碗的4/5,静置一会高度变成碗的2/3(只计水的蒸发),则中药的浓度变为原来的(  )倍.

A.1.7           B.1.4            C.1.3              D.1.2

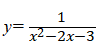
2.关于函数,下列说法正确的有(  )

A.函数图象有最高点

B.图象关于直线x=1对称

C.当x>1,yx而增大减小

D.图象与直线yx仅有一个交点

3.如图,四边形ABCD是边长为4的正方形,圆O是正方形的内切圆,P为圆上一点,连接PAPB,则的最小值为                  .

点击以下链接,可以直接下载pdf文档

昆山提招数学模拟卷(三)

本文由友果分享提供。友果培优,复旦名师执教,小学/初中/高中。联系电话/微信:17751295132